EatMyPossum
New member
- Joined
- May 21, 2014
- Messages
- 2
Hi all,
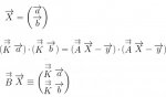
I got this linear algebra problem I need to solve for my master thesis in computational neuroscience, and I have been stuck for some days now. I would be really gratefull for any help regarding:
1. finding A such that the equality holds,
2. Proof there is no such A
3. suggestions on how to approach any of these solutions

The full problem is in the picture. Furthermore: a and b are given real vectors of the same length. K is a real, symetric toeplitz matrix. (actually it has identical gaussians centered around the diagonal in each row (and thus also on the collumn)). The definition of B is probably usefull for a solution, but not really part of the problem. Also y is scalar and can be chosen freely, but i suspect it should be all zero's. I think a way to 2. involves the realization that the term on the right involves all the squares of the elements of X, while the left one does not, but I do not know how to get rid of them, nor how to prove you can't. Much thanks in advance for any help.
I got this linear algebra problem I need to solve for my master thesis in computational neuroscience, and I have been stuck for some days now. I would be really gratefull for any help regarding:
1. finding A such that the equality holds,
2. Proof there is no such A
3. suggestions on how to approach any of these solutions

The full problem is in the picture. Furthermore: a and b are given real vectors of the same length. K is a real, symetric toeplitz matrix. (actually it has identical gaussians centered around the diagonal in each row (and thus also on the collumn)). The definition of B is probably usefull for a solution, but not really part of the problem. Also y is scalar and can be chosen freely, but i suspect it should be all zero's. I think a way to 2. involves the realization that the term on the right involves all the squares of the elements of X, while the left one does not, but I do not know how to get rid of them, nor how to prove you can't. Much thanks in advance for any help.