Dorian Gray
Junior Member
- Joined
- Jan 20, 2012
- Messages
- 143
Greetings Fellow Mathematicians,
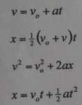
I am having tremendous difficulties with the following problem. I have never seen a problem like this before, so I am not sure how to address it. I know that I will be splitting up the vectors into x and y, and that I will be using the famous four equations in physics, but that is about all that I can do.
Please. Any suggestions, advice, or guidance on this problem will be greatly valued.
Thank you!

I am having tremendous difficulties with the following problem. I have never seen a problem like this before, so I am not sure how to address it. I know that I will be splitting up the vectors into x and y, and that I will be using the famous four equations in physics, but that is about all that I can do.
Please. Any suggestions, advice, or guidance on this problem will be greatly valued.
Thank you!
