I have been stuck at this problem for a while now, and was wondering what im doing wrong.
Find the area inside the polar curve r^2 = 2cos(17phi), and outside the polar curve r = 1.
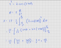
This is what I have tried (not including my 10 past attempts):
I have also tried solving the same but including -1 in the integral

Find the area inside the polar curve r^2 = 2cos(17phi), and outside the polar curve r = 1.
This is what I have tried (not including my 10 past attempts):
I have also tried solving the same but including -1 in the integral
