Average cost with changing success rate

Kevz13

New member
Joined
Jun 24, 2022
Messages
4
I have a fixed cost at a percent success rate, and each time I fail the success rate goes up. For example, each try costs 200 units. The initial success rate is 20% and each time I fail it increases by 1.5%. What is the average cost for a success?

I honestly have no clue how to go about this. Permutations were the first thing that came to mind, but no luck with it. I then came up with an equation from i=0 to i=n, where n is the number of tries, sum(200/(.2+.015i))/n. However, this didn't give a final answer, and even if it did, the resulting number soon surpasses the actual cost (for example, n=7 gives you an answer of 829, but an actual cost for 7 tries is 1400)
 
Start looking at probabilities of success after exactly n steps. I.e.:
  1. What are your chances to succeed on the very first step?
  2. What are your chances to succeed exactly on the second step? I.e., fail on the first and succeed on the second.
  3. What are you chances to succeed on the third step (two failures, then success)?
  4. On the [imath]n[/imath]-th try? I.e., failing [imath]n-1[/imath] times and succeeding on the [imath]n[/imath]-th try?
 
So that crossed my mind after I posted, but I'm not sure where to go with it. So for example, I have a 27% chance of failing 5 times. So what do I do with that number?
 
Winning on exactly the [imath]n[/imath]-th try is an event which is disjoint from other winnings, i.e. winning on the [imath]k[/imath]-th step, where [imath]k\neq n[/imath]. Since you know the corresponding costs [imath]C_n[/imath] the mean, a.k.a. average, cost is given by [imath]C = \sum_{k=1}^\infty C_k p_k[/imath].

BTW, you cannot keep adding 1.5% forever since you'll exceed 1 on the 54-th step. I am assuming there is no step # 55 since you are guaranteed to win on step 54, correct?
 
Yes, that is correct, there would be no step #55.

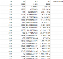
So I think I follow what you are saying, but I'm not sure that I understand the final number I am getting so I must still be doing something wrong. I am doing this little project in Excel, so I tried plugging it in and this is my result. Screenshot (58).png

In column A, I have the total cost for that iteration. In column B, I have the percent chance of failing that specific try. In column C, the probability of me failing all of the previous ones plus the current one (so C2=C1*B2). In column D, the total cost times the probability of failing all of them (so A*C), and finally I summed up column D (which is the final number in E).

However, the final number is a little over 2000, which is surprising to me. If you were to assume no change in percent success rate, your average cost would be 200/.2 = 1000. So it doesn't make sense for better odds to cost more on average. I must be doing the percentage wrong? I tried adding the percent success to column C and dividing that by 54, but that didn't work. I also tried replacing column A with 200 divided by the success rate of that iteration (so 200/(.2+.15i), where i starts at i=0), but I got a slightly higher number than what the screenshot shows.
 
You've tabulated probabilities and costs of failures, but not of success. Do you disagree with my previous posts?
 
No, I'm just an idiot. For some reason I didn't think to multiply the success percentage with the total probability of failing, was thinking that I had to do something different since I was switching from failing to succeeding. I got it to work now, thank you. Ended up getting a final sum of 832, which I think makes sense.
 
For whatever it is worth I am getting ~ 748.37453, but I am not too confident in this result.
 
Top