Aminta_1900
New member
- Joined
- Sep 19, 2022
- Messages
- 38
I'm having a little difficulty with this question. The many examples I've seen before this are mostly in the form y=y[o]e^kt, and naturally involve solving for k or t with the variables given, or vice versa. This below is the first question and doesn't involve e or give numerical values for any of the variables, so I'm a bit stumped in how to use C and the initial value.
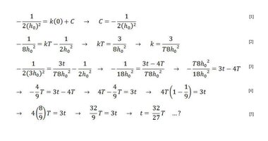
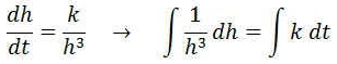
"Grain is pouring from a hopper on to a barn floor where it forms a conical pile whose height h is increasing at a rate that is inversely proportional to h^3. The initial height of the pile is h[0] and the height doubles after time T. Find, in terms of T, the time after which the height has grown to 3h[0]."
My workings...

Thanks.
"Grain is pouring from a hopper on to a barn floor where it forms a conical pile whose height h is increasing at a rate that is inversely proportional to h^3. The initial height of the pile is h[0] and the height doubles after time T. Find, in terms of T, the time after which the height has grown to 3h[0]."
My workings...

Thanks.

