
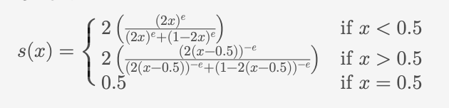
I have this equation, where s(x) describes the slope of another line f(x). I want to find f(x) using s(x). I’ve also attached a simple graph that shows s(x) in grey, and what f(x) should look like in black. ( s(x) is scaled separately from f(x) in the y axis ). I’ve been trying to solve this for a few days so if anyone was able to solve it I’d be so grateful haha.

Each axis is from 0 to 1.
I already used integration to generate the points for the graph above, but I need to find the equation of f(x) not find the points. I need an equation, not a bunch of points.
