Sorry if the awkward translation but I am directly translating this from another language
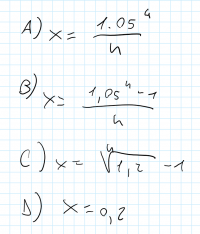
Here are the options:

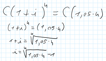
I have no idea regarding what formula I should use to solve this, I have made a useless attempt knowing this is not the right way to do it:

Can you please tell me what is the solution and why? Thank you
Here are the options:

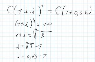
I have no idea regarding what formula I should use to solve this, I have made a useless attempt knowing this is not the right way to do it:

Can you please tell me what is the solution and why? Thank you

