I have a problem with the following linear algebra problem:

Normally, I would find a 3x3 symmetric matrix A such that [math]f(x)=x'Ax[/math]
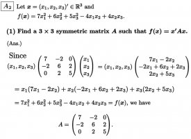
However, I only know how to do it with "regular" linear problems like this one:

So my question is: How do you find the 3x3 symmetric matrix of the fraction in the 1st image?

Normally, I would find a 3x3 symmetric matrix A such that [math]f(x)=x'Ax[/math]
However, I only know how to do it with "regular" linear problems like this one:

So my question is: How do you find the 3x3 symmetric matrix of the fraction in the 1st image?