Hello!
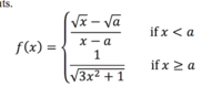
I'm trying to figure out the values of a make f continuous everywhere.
Normally what I would do if there was an 'a', I would find the left and right hand limits at the 'a' value then I would be left with a equation to solve to get the 'a' value.
So here I attempted to solve for the limit x->a for both equations and I got limx->a-= 1/2sqrt(a) and imx->a+= 1/sqrt(3a2+1)
now I dont know what to do, your help is very much appreciated!

I'm trying to figure out the values of a make f continuous everywhere.
Normally what I would do if there was an 'a', I would find the left and right hand limits at the 'a' value then I would be left with a equation to solve to get the 'a' value.
So here I attempted to solve for the limit x->a for both equations and I got limx->a-= 1/2sqrt(a) and imx->a+= 1/sqrt(3a2+1)
now I dont know what to do, your help is very much appreciated!
