dakota1234
New member
- Joined
- Nov 26, 2018
- Messages
- 1
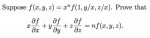
Hey, I've been trying to wrap my head around this one for a little bit now.

I worked a similar problem previously, so I understand that most of this problem is a simple chain rule application. However, I can't seem to figure out how to set up this particular one; any help would be much appreciated!!!
∂x
+
y
∂f
∂y
+
z
∂f
∂z
=
nf
(
x,y,z
)
.
I worked a similar problem previously, so I understand that most of this problem is a simple chain rule application. However, I can't seem to figure out how to set up this particular one; any help would be much appreciated!!!
∂x
+
y
∂f
∂y
+
z
∂f
∂z
=
nf
(
x,y,z
)
.