LordTootToot
New member
- Joined
- Jul 19, 2021
- Messages
- 1
Hello,
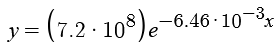
I have attached an equation that I need help writing out. For some reason when I tried to paste the equation into other calculators to find y when x is 2774 it returned 19 or the graph was wrong. I was able to find an accurate graph (posted below) however when I tried to copy and paste the formula into other programs it would not work. I am very confused.
7.2E+08e^-6.46E-03x
2774 (x value) should return 11.82 or close to it.


I have attached an equation that I need help writing out. For some reason when I tried to paste the equation into other calculators to find y when x is 2774 it returned 19 or the graph was wrong. I was able to find an accurate graph (posted below) however when I tried to copy and paste the formula into other programs it would not work. I am very confused.
7.2E+08e^-6.46E-03x
2774 (x value) should return 11.82 or close to it.


