Hi, new here, im really stuggling on how to even start this question any help would be much appreicated!
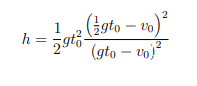
A ball is thrown straight up from the edge of the roof of a building of height h, with an initial speed of v0. A second ball is dropped from the roof t0 later. Ignore air resistance. 2 (a) If the balls reach the ground at the same time, show that the height is
Thanks in advance!
