Thanks. I fixed it, but still, answer do not come. I am letting x=1, because the expression x-2y looks like equation for finding odd number, where the x is always 1, but it didn't work out.Your 3rd line has a typo. This could be what is troubling you.
Please find your error and try to continue.
Why are you letting x=1?
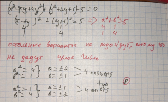
Thanks! it actually worked, and i got 8 possible answers. But the problem says, that pairs are needed, but i got only 4 pairs, when the correct answer is 8. Is this not enough?It really would have been nice if you told us what you fixed so we know that we are all at the same place.
Can you find all pair of integers that satisfies a^2 + b^2 = 5.
Use the trial and error method. There is nothing to solve for (yet) to find values for a and b.
Basically you have a circle (a^2+b^2=5) centered at the origin whose radius is 5. There aren't too many values that a (or b) can be.
If a=0, will b be an integer?
If a= +/-1, will b be an integer?
If a= +/-2, will b be an integer?
If a= +/-3, will b be an integer?
If a= +/-4, will b be an integer?

Please list the [ordered] pairs you found!Thanks! it actually worked, and i got 8 possible answers. But the problem says, that pairs are needed, but i got only 4 pairs, when the correct answer is 8. Is this not enough? View attachment 35871
I should add that these are (a, b) pairs; the problem asks for the number of (x, y) pairs. Conceivably the numbers could differ, if two (a, b) pairs could lead to the same (x, y) pairs; so you need to continue all the way to the actual 8 solutions (or prove that they will in fact be distinct, in some other way).Please list the [ordered] pairs you found!
(2, 1)(2, -1)...
How can an answer not be a pair?Thanks! it actually worked, and i got 8 possible answers. But the problem says, that pairs are needed, but i got only 4 pairs, when the correct answer is 8. Is this not enough? View attachment 35871