Four Muffins
New member
- Joined
- Jun 29, 2022
- Messages
- 25
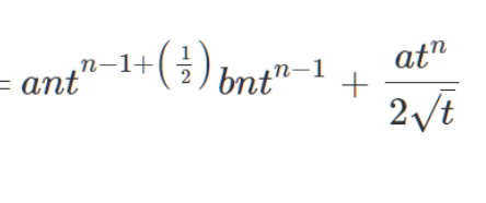
Hello. I'm trying to use the product rule on f(t)= (at^(1/2)+b)t^n. When I do, I end up here, and don't know how to proceed.

The question in the title was prompted by this correction to the exercise I failed. It seems to me that with the suggested substitutions the function should equal t^(n+1/2), not t^((2n+1)/2).

I also asked this question on Quora (but got locked by a moderator pretty quickly so I Googled my way here), and I don't understand how the answerer was able to combine the terms in second last line, it seems like an n disappeared. His answer also seems different to the one in the exercise.

Between the different answers, n+(1/2) and 2n+1 seem interchangeable. This looks similar to what I'd do when I'd find a fraction when using the quadratic equation. I don't think I know why that works, only that it does. Is it a similar thing here?

The question in the title was prompted by this correction to the exercise I failed. It seems to me that with the suggested substitutions the function should equal t^(n+1/2), not t^((2n+1)/2).

I also asked this question on Quora (but got locked by a moderator pretty quickly so I Googled my way here), and I don't understand how the answerer was able to combine the terms in second last line, it seems like an n disappeared. His answer also seems different to the one in the exercise.

Between the different answers, n+(1/2) and 2n+1 seem interchangeable. This looks similar to what I'd do when I'd find a fraction when using the quadratic equation. I don't think I know why that works, only that it does. Is it a similar thing here?

