schwampert
New member
- Joined
- Jan 25, 2020
- Messages
- 3
Hi all. So I'm having an issue with the following problem:

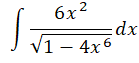
We're only doing a review of Calc 1 at this point, it's the beginning of the semester. That being said, I am completely stuck on this problem. I can't figure out how to make integration by parts work, and trying to do integration by substitution just gets me an endless loop where the problem keeps getting more and more complicated. I feel like the answer has something to do with the fact that (1 - 4x6)1/2 could be represented as either 1 - 2x3 or 1 + 2x3, but I'm not sure how to work with that information. Any help would be appreciated.

We're only doing a review of Calc 1 at this point, it's the beginning of the semester. That being said, I am completely stuck on this problem. I can't figure out how to make integration by parts work, and trying to do integration by substitution just gets me an endless loop where the problem keeps getting more and more complicated. I feel like the answer has something to do with the fact that (1 - 4x6)1/2 could be represented as either 1 - 2x3 or 1 + 2x3, but I'm not sure how to work with that information. Any help would be appreciated.