Hello all, I would like to check my understanding of the following questions about finding the PSD of random sequences involving uniform and Gaussian distributions. I realize it is a long problem, so I certainly appreciate the time and help. I've added my work to show how I got my answers, but I could have missed some fundamental concepts and would like to correct any mistakes. Thank you in advance.
Problem with my final answers:

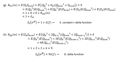
Scratch work:


Problem with my final answers:

Scratch work:

