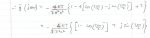
Hello, I'm here with another mathematical dilemma that I'm hoping you will be able to shed some light on. Basically, I'm working my way thorugh a tutorial sheet, and I can't seem to get my head round the simplification on the last step. I have taken a print screen of the steps I'm talking about.
(Click thumbnail for larger image)

Where has the 3 and the 4 gone? I think my lecturer has made a mistake, am I correct?
Thanks in advance you mathematical HEROS!!
(Click thumbnail for larger image)
Where has the 3 and the 4 gone? I think my lecturer has made a mistake, am I correct?
Thanks in advance you mathematical HEROS!!
Last edited by a moderator: