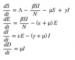
Hi so im working on modeling disease transmission using a slightly edited version of the SEIS model (adding D as well, SIESD?) and none of the online calculators i can find are able to do simultainous differentiation equations, are there any simulators or any better ways of solving this other than the Euler method?
(Λ is birth rate, Nµ is death rate excluding any caused by disease)

(Λ is birth rate, Nµ is death rate excluding any caused by disease)
