NateyNateNate
New member
- Joined
- Sep 10, 2020
- Messages
- 4
Please help solve for i
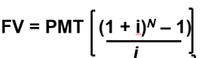
Original formula:
View attachment 21561
I'm stuck at:
i x ( F/P ) = ( ( 1 + i ) ^ n ) - 1
Greatly appreciated. Thank you. Feel free to post a picture if it's easier

That's exactly what I did.View attachment 21562
Please show us what you have tried and exactly where you are stuck.
Please follow the rules of posting in this forum, as enunciated at:
https://www.freemathhelp.com/forum/threads/read-before-posting.109846/#post-486520
Please share your work/thoughts about this problem.
This cannot be solved algebraically for 'i'.Please help solve for i
Original formula:
View attachment 21561
I'm stuck at:
i x ( F/P ) = ( ( 1 + i ) ^ n ) - 1
Greatly appreciated. Thank you. Feel free to post a picture if it's easier
We know where the formula is mostly used. But we wanted to know:It's the calculation for the future value of annuity, the i is for interest rate.
View attachment 21567
It is a finance class in an MBA program. We are allowed to use calculator. I am just curious about how to solve for it.We know where the formula is mostly used. But we wanted to know:
In what course this assignment was given?Was the class a math or a finance or an engineering or something else. The expectation changes with designation of class.What were you taught about solving for roots of non-linear equations?
You'll have to use "iterative" methods (e.g. Newton-Raphson, Bisection, etc.) to approximate the solution to a desired accuracy.It is a finance class in an MBA program. We are allowed to use calculator. I am just curious about how to solve for it.