Hi everyone,
Here is the question:

I've managed to answer questions a, b and c but having trouble with d & e.
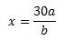
For part a) I got:

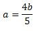
For part b) I got:

For part c) I got:

I'm just not sure where to start with d) and e), specifically finding sides x and b. I know it's got something to do with the ratio 5/4 and multiplying each side by it's opposite, 30m and 36m. I've tried substituting the equations from parts a & b into tan(alpha)=50+30+b/40+x+a but I keep going in circles or nowhere at all!
Anyone have any suggestions?
Here is the question:

I've managed to answer questions a, b and c but having trouble with d & e.
For part a) I got:
For part b) I got:
For part c) I got:
I'm just not sure where to start with d) and e), specifically finding sides x and b. I know it's got something to do with the ratio 5/4 and multiplying each side by it's opposite, 30m and 36m. I've tried substituting the equations from parts a & b into tan(alpha)=50+30+b/40+x+a but I keep going in circles or nowhere at all!
Anyone have any suggestions?