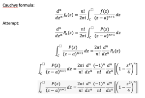
The question gives the polynomial attached and asks you to use cauchy's integral formula to write the function as an integral our a suitable closed contour C, with the final answer containing no derivatives.

I am not sure if the following is the correct approach for the question since I end up wit derivatives in the result, the question then asks for me to compute pn(2) and I wouldn't know how to to that with my result


I am not sure if the following is the correct approach for the question since I end up wit derivatives in the result, the question then asks for me to compute pn(2) and I wouldn't know how to to that with my result
