shreddinglicks
Junior Member
- Joined
- Apr 16, 2016
- Messages
- 76
Hello, I see many examples for solutions of the heat problem in cylindrical coordinates. I notice one thing in common. They all apply to a solid cylinder. In this case the solution after separating variables gives,
separation equation
u(r,t) = RT
gives
R(r) = A*J(0,L*r)+B*Y(0,L*r)
and
T(t) = C*e^(-alpha*L^2*t)
In the typical examples it states B = 0 due to the radius r = 0 of the solid cylinder.
therefore,
R(r) = A*J(0,L*r)
and I can the obtain my lambdas written here as L based on the condition at the outside cylinder surface.
Then the typical textbook mentions the three typical boundary conditions and obtains the coefficients for them
J'=0
hJ + alpha*b*J' = 0
and J = 0
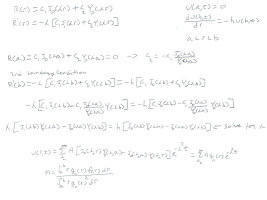
If I have a annular cylinder where a < r < b
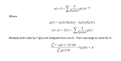
How would I solve this? I have attached a page I found during my search. The problem I have is how do I solve for A and B?
separation equation
u(r,t) = RT
gives
R(r) = A*J(0,L*r)+B*Y(0,L*r)
and
T(t) = C*e^(-alpha*L^2*t)
In the typical examples it states B = 0 due to the radius r = 0 of the solid cylinder.
therefore,
R(r) = A*J(0,L*r)
and I can the obtain my lambdas written here as L based on the condition at the outside cylinder surface.
Then the typical textbook mentions the three typical boundary conditions and obtains the coefficients for them
J'=0
hJ + alpha*b*J' = 0
and J = 0
If I have a annular cylinder where a < r < b
How would I solve this? I have attached a page I found during my search. The problem I have is how do I solve for A and B?









