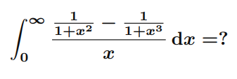
What is the method of computing this type of integral?

I was thinking about using **Frullani's Integral Formula** but I really can't think of a way to use it, I don't know how to choose a and b and it doesn't really click. That is my only idea. If anyone has any idea that I can use for this. Thanks!

I was thinking about using **Frullani's Integral Formula** but I really can't think of a way to use it, I don't know how to choose a and b and it doesn't really click. That is my only idea. If anyone has any idea that I can use for this. Thanks!
Last edited by a moderator: