I like your first way more; it's a lot easier. But you haven't finished it!I tried to do this problem two ways. First is incorrect, second is correct. I am having problems with understanding why I can't square it. View attachment 30437
I like your first way more; it's a lot easier. But you haven't finished it!
When you square an equation, you can introduce extraneous solutions. (Surely you've learned that!) In particular, your solutions will include solutions of [imath]\sin x + \cos x = 1[/imath] as well as of [imath]\sin x + \cos x = -1[/imath]. So you need to check each case and eliminate extraneous solutions. For example, if [imath]\sin x=0[/imath], then in order to satisfy the original equation, you must have [imath]\cos x = -1[/imath]. When is that true?

Now, observe that this is equivalent to the answer you got the other way!View attachment 30439
What now?

solve equationWhat did the problem ask you to FIND?
What is the question you needed to answer?
I am a little confused. So I basically got four x. Two are conditions for sinx=0 or cosx=0. Don't I need to find where they overlap or something? Do I just leave the four of them?Now, observe that this is equivalent to the answer you got the other way!
Or. compare both to the solutions given by a graph:
View attachment 30442
Huh? You have infinitely many solutions, defined by two expressions. What do you mean by "four x"? How is an "x" a "condition"? What do you mean by "overlap"? Please explain your thinking more fully.I am a little confused. So I basically got four x. Two are conditions for sinx=0 or cosx=0. Don't I need to find where they overlap or something? Do I just leave the four of them?
Sure, so yes there are infinitely many solutions. I mean that in my last picture i wrote what x equals four times. (I outlined them) First x is what x needs to be for sinx=0, second x is what x needs to be for cosx=0, third x is what cosx needs to be if sinx=0 so we can have -1 when we add them together, four x is what sinx needs to be if cosx=0 so we can have -1 when we add them together.Huh? You have infinitely many solutions, defined by two expressions. What do you mean by "four x"? How is an "x" a "condition"? What do you mean by "overlap"? Please explain your thinking more fully.
If you look back at your original solutions in the OPI am a little confused. So I basically got four x. Two are conditions for sinx=0 or cosx=0. Don't I need to find where they overlap or something? Do I just leave the four of them?
those are incorrect. solutions from second method are correctIf you look back at your original solutions in the OP
[imath]x= \pi k[/imath] and [imath]x=\frac{\pi}{2} + \pi k[/imath]. Notice that your solutions lie on the x and y axis, meaning the solutions occur at every [imath]\frac{\pi k}{2}[/imath]
I know it is wrong because it contains extraneous solutions; as @Dr.Peterson pointed out, how can you remove them?those are incorrect. solutions from second method are correct
Here is what you showed:Sure, so yes there are infinitely many solutions. I mean that in my last picture i wrote what x equals four times. (I outlined them) First x is what x needs to be for sinx=0, second x is what x needs to be for cosx=0, third x is what cosx needs to be if sinx=0 so we can have -1 when we add them together, four x is what sinx needs to be if cosx=0 so we can have -1 when we add them together.
I am confused what I can write as the final solution. See if I have one x for sinx=0 and one x for cosx=-1, do i not need to find a solution that works for both of them?


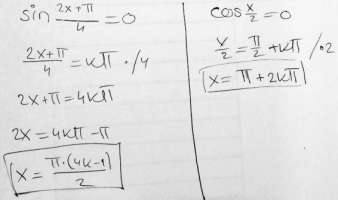
Okay! Thank you! I understand now.Here is what you showed:
View attachment 30446
The top pair of boxed solutions are the initial solutions that include extraneous solutions.
The bottom pair are the non-extraneous solutions within the initial solutions. The extraneous solutions have been removed, by ensuring that the original equation is satisfied, so you can ignore the top pair. You have only two sets of solutions here.
Since EITHER [imath]\sin x = 0[/imath] OR [imath]\cos x = 0[/imath], the full solution is the union of these, not the intersection, if the latter is what you mean by "works for both of them". The solution is that EITHER [imath]x=\pi+2k\pi[/imath] OR [imath]x=\frac{3\pi}{2}+2k\pi[/imath]. And this agrees with your second method:
View attachment 30447
There, too, the solution is that x can be any of the solutions described (their union).
one side question, say I solve some equation through sinx, but the result from the book solved it through cosx. The x will obviously be written differently, how do I check if it's the same?Here is what you showed:
View attachment 30446
The top pair of boxed solutions are the initial solutions that include extraneous solutions.
The bottom pair are the non-extraneous solutions within the initial solutions. The extraneous solutions have been removed, by ensuring that the original equation is satisfied, so you can ignore the top pair. You have only two sets of solutions here.
Since EITHER [imath]\sin x = 0[/imath] OR [imath]\cos x = 0[/imath], the full solution is the union of these, not the intersection, if the latter is what you mean by "works for both of them". The solution is that EITHER [imath]x=\pi+2k\pi[/imath] OR [imath]x=\frac{3\pi}{2}+2k\pi[/imath]. And this agrees with your second method:
View attachment 30447
There, too, the solution is that x can be any of the solutions described (their union).
For something like the current example, just check whether each solution written one way is in the set stated the other way. (Or, if you just want a quick check, graph both answers and see if they agree, as I showed in #6.)one side question, say I solve some equation through sinx, but the result from the book solved it through cosx. The x will obviously be written differently, how do I check if it's the same?