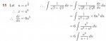
Advanced Integration Substituion: int [1/(sqrt{x}+cbrt{x})] dx, using u=x^{1/6}

Onigma

New member
Joined
Jan 10, 2018
Messages
11
Howdy Folks,

I was presented with the following question:
math1.jpg
In the solution to the problem, it begins with:
math2.jpg
I understand the processes of substitution and integration yet I cannot understand the first line of working in which 'u' is substituted into the equation. Obviously, using this technique, you get the correct answer in the end, yet I cannot understand how the substitution rule has been applied in the first line. I have intently studied this proof of the substitution rule to try and gain a grasp on what exactly is happening in the line in question, yet have failed.
math3.jpg
Anyone who could provide some explanation as to how the substitution rule has been used in the line in question would be greatly appreciated.

Thanks! : )
 
Howdy Folks,

I was presented with the following question:
View attachment 9665
In the solution to the problem, it begins with:
View attachment 9666
I understand the processes of substitution and integration yet I cannot understand the first line of working in which 'u' is substituted into the equation. Obviously, using this technique, you get the correct answer in the end, yet I cannot understand how the substitution rule has been applied in the first line. I have intently studied this proof of the substitution rule to try and gain a grasp on what exactly is happening in the line in question, yet have failed.
View attachment 9667
Anyone who could provide some explanation as to how the substitution rule has been used in the line in question would be greatly appreciated.

Thanks! : )
So the substitution is x = u6

Now you need to write \(\displaystyle \sqrt{x} , \sqrt[3]{x}\) and dx in terms of u.

\(\displaystyle \sqrt{x}\) = (x)1/2 = (u6)1/2 = u3. \(\displaystyle \sqrt[3]{x}\) = (x)1/3 = (u6)1/3 = u3. dx = 6u5du

Now substitute the three terms in x with the three terms in u and then try solving this new integral.

If your question was why did they choose x = u6, the answer to that question is they wanted to kill off the square root (1/2 power) and the cube root (1/3). Since the lcm (2,3) = 6 they wanted to raise the sqrt and the cube root to the 6 power to kill off both roots.

To finish up this integral you can do long division or make another substitution v = u+1.

Let us know how you make out.
 
Last edited:
So the substitution is x = u6

So you need to write \(\displaystyle \sqrt{x} , \sqrt[3]{x}\) and dx in terms of u

Yeah, I understand what you are saying, but usually when I do substitution, there is a parent function and then the derivative of that function within the integral... that isn't there this time though so how do I work around that?
 
So the substitution is x = u6

Now you need to write \(\displaystyle \sqrt{x} , \sqrt[3]{x}\) and dx in terms of u.

\(\displaystyle \sqrt{x}\) (x)1/2 = (u6)1/2 = u3. \(\displaystyle \sqrt[3]{x}\) = (x)1/3 = (u6)1/3 = u3. dx = 6u5du

Now substitute the three terms in x with the three terms in u and then try solving this new integral.

If your question was why did they choose x = u6, the answer to that question is they wanted to kill off the square root (1/2 power) and the cube root (1/3). Since the lcm (2,3) = 6 they wanted to raise the sqrt and the cube root to the 6 power to kill off both roots.

To finish up this integral you can do long division or make another substitution v = u+1.

Let us know how you make out.

Ok thanks, that's making more sense now. I'm still a little confused though as to why you can actually do this whole substitution of 'u' for 'x' in this specific case. In all the others problems I do where you need to use substitution, there is an obvious 'parent function' in the integral (which you can substitute for u), and the derivative of the parent function (which you can substitute for du/dx). In this problem though, this form of their being a 'parent function' is not evident. What part of the 'formula' for substitution is being applied here such that it is legal?

In any integral, can you simply do as you are saying an just substitute all the x terms for u, including the dx itself? Is this the over-arching idea of substitution? In what I have learnt so far, you substitute in 'u' for the parent function and then du/dx for the derivative of that parent function.. then the dx's simply cancel. Is this a bad way to think of it?
 
1) You probably never should use the word "advanced". Mostly, this just makes you think it is somehow more difficult.
2) "Parent Function" Well, all textbooks I have seen have this strange need to write "u = " as the very first and mandatory part of a substitution in this context. It turns out that "u" isn't necessary. It's just a convention. Some even call the process "u-substitution". My point is the question, just exactly what is the "parent function"? Is it u = x^(1/6) or is it x = u^6? Fortunately, it doesn't matter.
 
Last edited:
Ok thanks, that's making more sense now. I'm still a little confused though as to why you can actually do this whole substitution of 'u' for 'x' in this specific case. In all the others problems I do where you need to use substitution, there is an obvious 'parent function' in the integral (which you can substitute for u), and the derivative of the parent function (which you can substitute for du/dx). In this problem though, this form of their being a 'parent function' is not evident. What part of the 'formula' for substitution is being applied here such that it is legal?

In any integral, can you simply do as you are saying an just substitute all the x terms for u, including the dx itself? Is this the over-arching idea of substitution? In what I have learnt so far, you substitute in 'u' for the parent function and then du/dx for the derivative of that parent function.. then the dx's simply cancel. Is this a bad way to think of it?

I'm not familiar with the use of the term "parent function" this way; but it is true that commonly we recognize a substitution by seeing some function within the integrand, whose derivative is also present (such as an x^2 somewhere, together with 2x being multiplied). But the reason for substitution does not have to be so obvious. Substitution just means substituting u (or whatever name you like) for some expression, and du for dx, regardless of what else is involved. Quite often something has to be modified in order for the derivative to be there.

This example is relatively subtle; I might not recognize quickly what to do. In order to see the possibility that u = x^(1/6) will be helpful, you need to see that there are two radicals with different indices, and that these can be seen as the cube and the square, respectively, of the sixth root. Whenever some little function like that appears repeatedly, it is a candidate for substitution. The derivative of u is not present in this case, but I would just try the substitution in order to see what the result would be -- I don't expect to know ahead of time what will necessarily happen, but just try something out of hope, since I don't see anything else likely to work.

In a sense, the substitution here was done in reverse compared to the simple examples you probably saw first. Rather than replace a function of x with u, and du/dx dx with du, they replace x itself with u^6 and dx with dx/du du. The effect is the same. I notice that Wikipedia gives two examples, which they call right-to-left and left-to-right. The second example may be beyond your current knowledge in detail, but you can see that, like here, they replace x and dx, rather than u and du. This style of substitution is probably rarer, at least in your textbook, but is quite powerful.

Having seen this example, you now have that much more experience by which you can think about possibilities in the future. That is how methods of integration tend to work. I'm guessing you were given it to introduce you to this style of substitution.
 
Yeah, I understand what you are saying, but usually when I do substitution, there is a parent function and then the derivative of that function within the integral... that isn't there this time though so how do I work around that?
Yes, what you said is all correct. This is why mathematics expands your thinking process. Not all integrals will have du sitting right there and as you noticed this is one of them. Good luck.
 
I think, you had an EXPECTATION of to be able to get the antiderivative "right after substitution".

Such is not the case for this problem - and most of the problems you will encounter later. You have to "massage" the "substituted form" further to bring out a recognizable (easily integrable) form.

Here:

u^3 / (u+1) = [(u^3 + 1) - 1]/(u + 1) = u^2 - u + 1 - 1/(u +1)

Now you should be able integrate each term easily.
 
I think, you had an EXPECTATION of to be able to get the antiderivative "right after substitution".

Such is not the case for this problem - and most of the problems you will encounter later. You have to "massage" the "substituted form" further to bring out a recognizable (easily integrable) form.
To OP: And sometimes make 2 or more substitutions to get a form that is easily integrable!
 
Top