Not sure exactly what this should look like once it is solved. Here is the question as found on paper:
An expression that occurs in calculus is given. Write the expression as a single quotient in which only positive exponents and/or radicals appear.
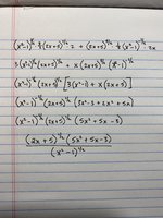
(x^2-1)^1/2 * 3/2(2x+5)^1/2 * 2 + (2x+5)^3/2 * 1/2(x^2-1)^-1/2 * 2x
I understand it is somewhat of a factoring problem. Here is the solution I am ending up with...
[(2x+5)^1/2(x^2+5x-3)] / (x^2-1)^1/2
Somehow this doesn't seem like the right solution! Any help is appreciated.
Thanks,
S. Weiss
An expression that occurs in calculus is given. Write the expression as a single quotient in which only positive exponents and/or radicals appear.
(x^2-1)^1/2 * 3/2(2x+5)^1/2 * 2 + (2x+5)^3/2 * 1/2(x^2-1)^-1/2 * 2x
I understand it is somewhat of a factoring problem. Here is the solution I am ending up with...
[(2x+5)^1/2(x^2+5x-3)] / (x^2-1)^1/2
Somehow this doesn't seem like the right solution! Any help is appreciated.
Thanks,
S. Weiss