Hi, I like to experiment with mathematics, and I enjoy to solve mathematical problems and challenges for fun.
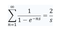
I am trying to find for wich s the following equation is fulfilled. Note that s is a complex variable s = x + i y.
∑_(n=1)^∞▒〖1/(1-e^(-ns) )=2/s〗

Another question: Is it possible to express the infinite series without the summation symbol
F(s)=∑_(n=1)^∞▒1/(1-e^(-ns) )

Thank you in advance for your help.
I am trying to find for wich s the following equation is fulfilled. Note that s is a complex variable s = x + i y.
∑_(n=1)^∞▒〖1/(1-e^(-ns) )=2/s〗

Another question: Is it possible to express the infinite series without the summation symbol
F(s)=∑_(n=1)^∞▒1/(1-e^(-ns) )

Thank you in advance for your help.