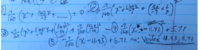
well, b is 1 is it not? I think I showed that in my last post. Wait,let me check that post. OK. I see that I didn't post the image where I found that b is one. I have that on another computer and will post it. That was easy to find once I got a and c. As for the system you suggest, it just never occurred to me to do it that way. I was intent on turning a(0)+b(0)=0 and a(40^2) +b(40)--30 into a system and couldn't figure it out. I kept getting 0 as a coefficient for a somehow. Maybe it was just impatience on my part. Anyway, I will try your approach just to see how it works. Thanks