Q is now in the description.Please quote the problem. What area did they ask for? And is this the entire solution?
Q is now in the description.
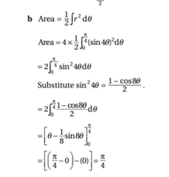
Anyway it worked, it goes from top limit to the other limit anticlockwise. I feel like a fool. Its given me the area of 1 petal, as the positives and the negatives (not shown in the diagram) cancel out, except for one less negative petal so you just get the area of 1 petal.
I checked. I just worked out the area of 1 petal and it is [MATH]\pi/12[/MATH]. Its easy to see why, the negatives cancel out, so in order to work out the area of negative and positives then you need to find area of 1 petal and times by the number of petal. Their answer does not indicate they did this. I agree, and now think their answer is wrong but just integrating like they did clearly gives the wrong answer! so watch out.I don't see the actual wording of the problem anywhere.
If you're saying they asked for the total area enclosed by the curve, then there are no negatives involved. Areas are positive. Nothing cancels out. The only thing to watch for is to avoid going around the curve twice.
They found the area of one "negative" petal, which came out positive. (The same petal can be obtained using positive r with different angles.) I would probably have integrated from [MATH]-\pi/6[/MATH] to [MATH]\pi/6[/MATH] and multiplied by 3 as you imply you would do.
Thats well explained, in this case there are 5 petals in the limits specified which give, but 2 petals are when r is negative, so the abolute values are are the areas are still positive, I dont think you can do a full sweep as it will cancel out with the positives integrands-as their answer shows this are gives just area 1 petal. Sorry I am bad at explaining myself but i agree with you. Area is always positive so you have work out area of 1 petal and then all the petals. This is a an example. The question forgot to specify r>=0. They have asked to work out the area of loops of curves with the equations r=sin 4[MATH]\theta[/MATH]The funny thing is, if you just integrate from 0 to pi, you get the right answer, and more obviously, it seems to me. There's no need to worry about negatives. (Notice that the integrand is positive, so you know nothing will cancel out.)
Now, if the integrand could be negative, you would have to integrate piece by piece and add absolute values (as you do in rectangular coordinates). Areas are never negative, so they never cancel out, but integrals can be negative: areas are absolute values of integrals.
What "limits specified"? Again, you haven't quoted the problem!!! (If your last sentence is supposed to be the problem, it's a different curve than the solution you showed.) Please be complete! This gets very frustrating.Thats well explained, in this case there are 5 petals in the limits specified which give, but 2 petals are when r is negative, so the abolute values are are the areas are still positive, I dont think you can do a full sweep as it will cancel out with the positives integrands-as their answer shows this are gives just area 1 petal. Sorry I am bad at explaining myself but i agree with you. Area is always positive so you have work out area of 1 petal and then all the petals. This is a an example. The question forgot to specify r>=0. They have asked to work out the area of loops of curves with the equations r=sin 4[MATH]\theta[/MATH]
It is negative, you have to make it positive. I completely disagree. but let me check it out.What "limits specified"? Again, you haven't quoted the problem!!! (If your last sentence is supposed to be the problem, it's a different curve than the solution you showed.) Please be complete! This gets very frustrating.
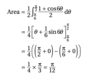
This curve has 8 petals, 4 of which are traced with negative r. They've integrated over one of the "negative" petals, and multiplied by 4; so what area are they claiming to find? Just the negative petals?
If you just integrate from 0 to 2 pi, without multiplying by 4, you get pi/2, which is the area of all 8 petals. Nothing cancels out. The integrand is never negative. So I don't know what you're talking about.
What "limits specified"? Again, you haven't quoted the problem!!! (If your last sentence is supposed to be the problem, it's a different curve than the solution you showed.) Please be complete! This gets very frustrating.
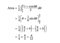
This curve has 8 petals, 4 of which are traced with negative r. They've integrated over one of the "negative" petals, and multiplied by 4; so what area are they claiming to find? Just the negative petals?
If you just integrate from 0 to 2 pi, without multiplying by 4, you get pi/2, which is the area of all 8 petals. Nothing cancels out. The integrand is never negative. So I don't know what you're talking about.
So just to use this example, as 1/2(2pi-0) =pi, the are of 8 petals, therefore area of 4 petals is pi/2. thats very strange, there is no negative integrad!What "limits specified"? Again, you haven't quoted the problem!!! (If your last sentence is supposed to be the problem, it's a different curve than the solution you showed.) Please be complete! This gets very frustrating.
This curve has 8 petals, 4 of which are traced with negative r. They've integrated over one of the "negative" petals, and multiplied by 4; so what area are they claiming to find? Just the negative petals?
If you just integrate from 0 to 2 pi, without multiplying by 4, you get pi/2, which is the area of all 8 petals. Nothing cancels out. The integrand is never negative. So I don't know what you're talking about.


Yes, that's exactly what I said.![]()
Google Lens - Search What You See
Discover how Lens in the Google app can help you explore the world around you. Use your phone's camera to search what you see in an entirely new way.socratic.org
This is very basic maths. I am not sure why you are disagree. Ok let me check it out, you are saying its not the case for polar curves.