Challenging means I know the unswer and I challenge the others to find the solution to my questionYou need to consider what "valid" means. You have given a correct definition.
Validity is only about the form of the argument, not its content (the truth or falsity of the statements within it). An argument can be invalid even if all its premises and its conclusion are true, as in this case.
Your argument has the form "If p, then q; not p; therefore not q." So you have to decide whether this is a valid argument, by considering whether it is possible for both premises to be true but the conclusion false. (The answer is that it is invalid; specifically, it is the fallacy of the inverse.)
I believe you have shown in the past that you know something about logic; so this should not be hard for you. Perhaps what you mean by "challenging question" is not "a question that is hard for me, for which I need help", but "a challenge question that I think you will get wrong." In either case, please tell us your thoughts about it.
Now consider your self having to answer that question in ancient Greece where symbolic logic had not been discovered yet, what would be your answer
CorrectIf I understand you correctly, you are demonstrating that the argument in the OP is invalid (as I said in #6, it's the fallacy of the inverse), by showing an instance of the same argument in which the premises are true but the conclusion is false.
Premise 1 is true because its condition is false; premise 2 is true; but the conclusion is false.
I agree.
I suspect people are thinking you are disagreeing with them, when you are not.
I wonderThank you, @JeffM and @Dr.Peterson, for the insights.
This was a great explanation and showed just how little I know about logic. I'm definitely intrigued to learn more about logic and arguments.
Should not logic be introduced
And studied in high shcool
Logic is the study of arguments
The questions that comes next are
1 what is an argument
2 How do we find arguments in our speech written or oral
3 when is argument valid or non valid
And from here onwards we have the split of logic into
FORMAL AND INFORMAL e. t. c e. t. c
By theway
By the way a mathematical proof is none other than an argument
The laws of logic are behind any mathematical argument (mathematical proof),physical chemical ,legal argument
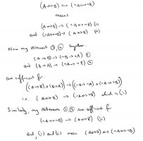
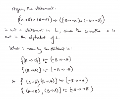
CAN you prove that in statment calcules in other words can you prove:Valid argument [imath]\Leftrightarrow[/imath] (True premises [imath]\Rightarrow[/imath] True Conclusion)
This is equivalent to:
Invalid argument [imath]\Leftrightarrow[/imath] Not(True premises [imath]\Rightarrow[/imath] True Conclusion)
[math][P\Leftrightarrow Q]\Leftrightarrow[\neg P\Leftrightarrow \neg Q][/math]Valid argument =P
And Q= (True premises [imath]\Rightarrow[/imath] True Conclusion)
I may point out again that true tables can ensure us that the above is provable but they do not provide a proof
Sorry I answered to your post No 6 before your answer no 22
Last edited by a moderator:




