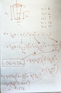
Hello I am trying to calculate the volume of a sloped or truncated container that has a different radius on the bottom and the top ie( a pot for plants ). There are many online calculators that I think use the following formula to solve. See pic.
However I would like to be able to calculate the volume when the pot is filled to any height (not necessarily to the top) . It would still be the same container so the top and bottom radius would not change but the third radius I wouldn’t be able to measure , but I would be able to measure the height , such as half or a third of the container height for example.
However I would like to be able to calculate the volume when the pot is filled to any height (not necessarily to the top) . It would still be the same container so the top and bottom radius would not change but the third radius I wouldn’t be able to measure , but I would be able to measure the height , such as half or a third of the container height for example.
