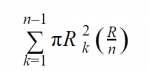
So I just started Calculus II and I haven't done Calculus in about a year so I've forgotten quite a bit. I'm having particular issues with this problem. I figured that it probably has to do with a relationship between the Volume of a Cylinder, volume of a cone, and Riemann sums. The problem is that I can't for the life of me find the relationship between all 3 of them. I think it might be because the letters are throwing me for a loop. Any help would be greatly appreciated. Thanks in advance!
Last edited: