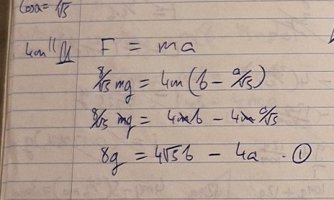
No way ! ... I will be home later and post old fashioned pen + paper photos of my solution..Then, you are smarter than me. But my method of calculation has a benefit that yours might not have. I will tell you about it later. For now, let us see how you did it!
