Hi there,
I have recently made my own Youtube channel, and at the moment I am going through the kinematic topic of projectiles.
I have modelled a example problem that I would like to run by someone to see if I myself have done it correctly.
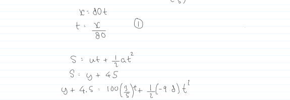
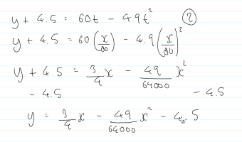
Here are some screen shots of the problem:
My main question is, have I correctly taking into account the elevated height of the projectile? Does S = y + 4.5m?
Many thanks
I have recently made my own Youtube channel, and at the moment I am going through the kinematic topic of projectiles.
I have modelled a example problem that I would like to run by someone to see if I myself have done it correctly.
Here are some screen shots of the problem:
My main question is, have I correctly taking into account the elevated height of the projectile? Does S = y + 4.5m?
Many thanks