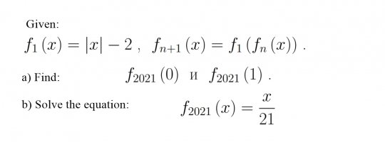
Composite function

Can somebody help me with this problem? Thank you!
We can try to help. But in order to do that, we'll need to see what help you need. That includes what you have tried, what went wrong, and what you have learned that you might use.

If you didn't already, please read:

Now, I would probably start by experimenting with the function, seeing what [imath]f_1[/imath], [imath]f_2[/imath], and so on mean, by graphs or some other means. I would expect to see a pattern. But maybe you've learned something more specific to try, which is why we want to see what you know.
 
Top