Continuity of piecewise functions (limit as x -> 1)

coooool222

Junior Member
Joined
Jun 1, 2020
Messages
93
1672528662124.png
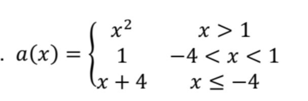
The answer key is telling me that it is continuous except x=1 and x=-4. I think this is false due to the fact that
1672529008135.png
Isn't it continuous if both limits on the write and left side equal, and also equal to the functions value.
 
View attachment 34715
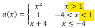
The answer key is telling me that it is continuous except x=1 and x=-4. I think this is false due to the fact that
View attachment 34716
Isn't it continuous if both limits on the write and left side equal, and also equal to the functions value.
You're saying you believe it is continuous at x=1, right?

But f(1) is not defined:

1672531552257.png

So your claim can't be true!

On the other hand, at x=4, the function is defined, but the limit does not exist.
 
Top