convergence & divergence of a sequence

Sandella

New member
Joined
Jan 10, 2021
Messages
4
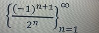
I want to determine the following sequence converges or diverges. Should I remove n+1 in this sequence to find its limit?
2bc4f4a5-23f3-4bb1-b772-c69e613dcb37.jpg
 
Why remove anything? That might establish convergence for some other sequence.

n+1 makes it an alternating sequence. All you need to demonstrate is that the terms otherwise decrease toward zero (0).
 
I don't believe in "the steps". This ignores the understanding of what one is doing. It's a thought process. Process it.
 
you need to demonstrate is that the terms otherwise decrease toward zero.
This says that you need to show two things.
1) The terms are decreasing (after some point)
2) as n goes to infinity, the terms go to 0.

How do you show that the terms are decreasing?
Post back showing your work.
 
Top