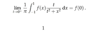
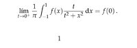
A actirov New member Joined Apr 22, 2020 Messages 1 Jun 11, 2020 #1 Last edited by a moderator: Jun 11, 2020
D Deleted member 4993 Guest Jun 11, 2020 #2 actirov said: View attachment 19665 Click to expand... Please show us what you have tried and exactly where you are stuck. Please follow the rules of posting in this forum, as enunciated at: https://www.freemathhelp.com/forum/threads/read-before-posting.109846/#post-486520 Please share your work/thoughts about this assignment.
actirov said: View attachment 19665 Click to expand... Please show us what you have tried and exactly where you are stuck. Please follow the rules of posting in this forum, as enunciated at: https://www.freemathhelp.com/forum/threads/read-before-posting.109846/#post-486520 Please share your work/thoughts about this assignment.