Definite Integral - 2 questions i need help with

Benji195

New member
Joined
Oct 20, 2019
Messages
5
Define Q =[MATH] \int_{5}^{3}\frac{2(X+1)}{X^{2}-6x+13} [/MATH]

1) Rewrite Q into the form of


[MATH] \int_{B}^{A}\frac{MS+C}{S^{2}+K^{2}}[/MATH]
Where a, b, c, k, m are constants

2) Hence, Evaluate Q
 
… questions i need help with …
Hi Benji. What kind of help do you need? Please do us a favor and complete the request to read the forum's guidelines. We would like to know how far you got on each exercise and why you're stuck. Thanks!

Guidelines Summary said:
… Simply posting an exercise statement without showing work or asking specific questions is not enough for us to help you quickly. As tutors, we need clues about parts you already understand versus what you find confusing, so we can determine where to begin helping you …

\(\;\)
 
Define Q =[MATH] \int_{5}^{3}\frac{2(X+1)}{X^{2}-6x+13} [/MATH]

1) Rewrite Q into the form of

[MATH] \int_{B}^{A}\frac{MS+C}{S^{2}+K^{2}}[/MATH]
Where a, b, c, k, m are constants

2) Hence, Evaluate Q
I have several questions about your post:

  1. What is the difference between "X" and "x"? You have both in: Define Q =[MATH] \int_{5}^{3}\frac{2(X+1)}{X^{2}-6x+13} [/MATH]
  2. We are supposed to integrate relative to which variable "dx" or "dX"

    If you had shown some work, answers to these questions would have been apparent - and we would start "helpful" helping!
 
I need help finding the top section ms+c. Will it be 2(x-3)+4?

Q = [MATH]\int_{3}^{5}\frac{need help}{(x-3)^{2}+4} [/MATH]dx

Would then 2nd answer be which i just need to evaluate?

Q = [MATH]\int_{0}^{2}\frac{t^{2}+4}{t^{2}+4^{2}} [/MATH]dx
 
I have several questions about your post:

  1. What is the difference between "X" and "x"? You have both in: Define Q =[MATH] \int_{5}^{3}\frac{2(X+1)}{X^{2}-6x+13} [/MATH]
  2. We are supposed to integrate relative to which variable "dx" or "dX"

    If you had shown some work, answers to these questions would have been apparent - and we would start "helpful" helping!

Sorry should be

Define Q =[MATH] \int_{5}^{3}\frac{2(x+1)}{x^{2}-6x+13}dx [/MATH]
 
I need help finding the top section ms+c. Will it be 2(x-3)+4?

Q = [MATH]\int_{3}^{5}\frac{need help}{(x-3)^{2}+4} [/MATH]dx

Would then 2nd answer be which i just need to evaluate?

Q = [MATH]\int_{0}^{2}\frac{t^{2}+4}{t^{2}+4^{2}} [/MATH]dx

According to given hint in OP,

S = ?

K = ?
 
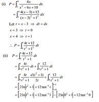
Here is an example answer to a similar question for
[MATH]\int_{3}^{4}\frac{4x}{x^{2}-6+10}dx[/MATH]

. I need to answer the original question in the same way




MAATHS.JPG
 
I need help finding the top section ms+c. Will it be 2(x-3)+4?

Q = [MATH]\int_{3}^{5}\frac{need help}{(x-3)^{2}+4} [/MATH]dx

Would then 2nd answer be which i just need to evaluate?

Q = [MATH]\int_{0}^{2}\frac{t^{2}+4}{t^{2}+4^{2}} [/MATH]dx
Maybe distribute the 2 in 2(X+1) = 2X+ 2
By the way you do realize that in mathematics that X and x are NOT the same variable?
 
Define Q =[MATH] \int_{5}^{3}\frac{2(X+1)}{X^{2}-6x+13} [/MATH]

1) Rewrite Q into the form of

[MATH] \int_{B}^{A}\frac{MS+C}{S^{2}+K^{2}}[/MATH]
Where a, b, c, k, m are constants

2) Hence, Evaluate Q
using

S = x - 3 \(\displaystyle \to \) dS = dx and when x = 5 \(\displaystyle \to \) S = 2 and when x = 3 \(\displaystyle \to \) S = 0

we get M(x-3) + C = 2x + 2

Mx = 2x \(\displaystyle \to \) M = 2, and

-3M + C = 2 \(\displaystyle \to \) C = 8

So now we have,

Q = \(\displaystyle \int_{5}^{3}\frac{2(X+1)}{X^{2}-6x+13} dx \) = \(\displaystyle \int_{2}^{0}\frac{2S + 8}{S^{2} + 2^2} dS\)

=\(\displaystyle \int_{2}^{0}\frac{2S}{S^{2} + 2^2} dS\) + \(\displaystyle \int_{2}^{0}\frac{8}{S^{2} + 2^2} dS\)

Continue.....
 
Top