Derivative calculating help

akleron

New member
Joined
Dec 28, 2019
Messages
42
hello !
I'm trying to calculate the derivative in the following question.
I've tried both with derivative rules and derivative definition but didn't get too far.
1st picture is the question
2nd is what I've tried to do.
Would love some help, thanks !
1578660937914.png
1578660970217.png
1578660985091.png
 
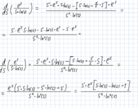
well let's break it down

\(\displaystyle \dfrac{d}{ds}e^s = e^s\)

\(\displaystyle \dfrac{d}{ds} s \ln(s) = \ln(s) + 1\)

\(\displaystyle \dfrac{d}{ds}\dfrac{e^s}{s\ln(s)}= \dfrac{e^s(s \ln(s)) - e^s(\ln(s)+1)}{(s\ln(s))^2} = \\~\\

\dfrac{e^s}{s \ln(s)} - \dfrac{e^s}{s^2\ln(s)} - \dfrac{e^s}{s^2(\ln(s))^2}

\)

you seemed to miss the fact that \(\displaystyle \dfrac{d}{ds} s = 1\)
 
well let's break it down

\(\displaystyle \dfrac{d}{ds}e^s = e^s\)

\(\displaystyle \dfrac{d}{ds} s \ln(s) = \ln(s) + 1\)

\(\displaystyle \dfrac{d}{ds}\dfrac{e^s}{s\ln(s)}= \dfrac{e^s(s \ln(s)) - e^s(\ln(s)+1)}{(s\ln(s))^2} = \\~\\

\dfrac{e^s}{s \ln(s)} - \dfrac{e^s}{s^2\ln(s)} - \dfrac{e^s}{s^2(\ln(s))^2}

\)

you seemed to miss the fact that \(\displaystyle \dfrac{d}{ds} s = 1\)

Lol should've know that (s)'=1 ...
Thank you !
 
What were all those "s' "s in your answer? Was that supposed to be the derivative of s? Since you were differentiating with respect to s, s'= 1.
 
Top