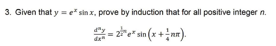
Derivative Induction Proof

Antroph1c

New member
Joined
Jan 22, 2022
Messages
13
How do I prove this induction?
I got until this part:
Hk+1 : 2^(k/2) e^x [sin( x + 1kπ/4) + cos( x +1kπ/4)]
After this i am unsure how to expand this expression to get my desired Hk+1 value: Which is suppose to be 2^(k+1)/2 e^x [sin (x+ [k+1]π/2)]
 

Attachments

  • Untitled.png
    Untitled.png
    85.8 KB · Views: 7
[imath]\sin A + \cos A = \sqrt{2}\sin (A+\tfrac{\pi}{4})[/imath]

(typo in your final expression too)
 
Top