DIFFERENTIAL CALCULUS HELP!!

MARCELA

New member
Joined
Oct 28, 2021
Messages
3
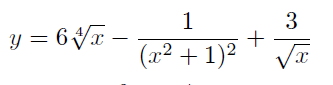
So I'm finding the Implicit differentiation of this problem right here. 1635398063976.png

I tried solving it on my own and also on some online calculators and I'm really stuck at how I'm supposed to simplify this.
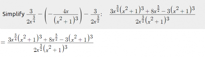
1635398124657.png
This is what symbolab shows. What I'm confused about is why the 2x^3/4 is not in the denominator.
 
So I'm finding the Implicit differentiation of this problem right here.
How is this implicit?

I tried solving it on my own and also on some online calculators and I'm really stuck at how I'm supposed to simplify this.

This is what symbolab shows. What I'm confused about is why the 2x^3/4 is not in the denominator.
Are you saying that you got the derivative shown, and asked symbolab to simply it, and don't understand their result? Please show your work simplifying. If what you show is their work, I wouldn't call it fully simplified, since you could do a little factoring to combine parts.

On the other hand, you don't have to write your answer the same way a computer does. Sometimes "simple" is in the eye of the beholder, and you can reasonably stop at a different form. I probably wouldn't have tried to combine the three fractions at all, unless I had a reason to (such as wanting to find where the derivative is zero, or being told explicitly what form to use). I'd just leave it in the form of your input to symbolab, or else combine only the first and last terms.
 
I wouldn't simplify it in that way (I really dislike using the "quotient rule"). I would write it as
\(\displaystyle 6x^{1/4}- (x^2+ 1)^{-2}+ 3x^{-1/4}\)

The derivative is \(\displaystyle 6(1/4)x^{-3/4}+ 2(x^3+ 1)^{-3}(2x)- (3/4)x^{-5/4}\) or
\(\displaystyle \frac{3}{2\sqrt[4]{x^3}}+ \frac{4x}{(2x^3+ 1)^3}- \frac{3}{4\sqrt[4]{x^5}}\).
 
Last edited:
2 lines and 2 mistakes Sir Halls.
As of curiosity, what field(s) did you concentrate in?
 
Top