Does anybody know some good online Graphing calculators?

natHenderson

New member
Joined
May 17, 2020
Messages
32
Screenshot (87).png
I'm currently trying to solve this problem, but I don't have a physical calculator, does anybody know of any good online graphing calculators that can handle polar equations?
 
File_001 (1).png
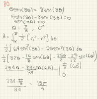
Ok, so I tried to work out the problem, but my answer isn't one of the options, what did I do wrong?
 
For starters there are three areas to consider. 0 to pi/3, pi/3 to 2pi/3, and 2pi/3 to pi. You only got the area for the first interval. The graphs then repeat the diagram from pi to 2pi... I don't know if you are supposed to double your answer.

-Dan
 
If aX = bX, a & b are not 0, and a is different from b then X = 0. This is a special property of 0. You do not have to say aX-bX=0 and then (a-b)X=0, so X=0.

So immediately if you have 5sin(3y) = 8sin(3y) just conclude that sin(3y) = 0.

You can't multiply a number by two different number and get equality unless the number is 0!!!
 
Top