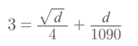
I'm having trouble understanding a specific step in the following problem. The original problem is:

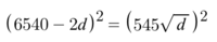
I've simplified to:

And this is where I get lost. I've squared each term individually as in the following:

whereas the guide I'm using does the following:
This version squares the (6540 - 2d) as a single term getting (42,771,600 - 26,160d + 4d2) rather than squaring the 6540 and the 2d separately getting 42,771,600 and 4d2.
Can anyone explain why the (6450 - 2d)2 is the proper way vs. squaring each term separately (i.e. 64502 and 2d2)? Thank you

I've simplified to:

And this is where I get lost. I've squared each term individually as in the following:
whereas the guide I'm using does the following:
This version squares the (6540 - 2d) as a single term getting (42,771,600 - 26,160d + 4d2) rather than squaring the 6540 and the 2d separately getting 42,771,600 and 4d2.
Can anyone explain why the (6450 - 2d)2 is the proper way vs. squaring each term separately (i.e. 64502 and 2d2)? Thank you