Hi, I’m really struggling to evaluate this type of expression and appear to be going round in circles. I know the answer is 4 but cannot het there. The question os as follows:
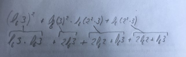
Log_6(3)^2 + log_6 9.log_6 12 + log_6 (12)^2
I hope my notation is understandable as I cannot type it in exactly as it appears in my text book. The first and last parts are log base 6 to the power of 2 of 3 and 12 respectively. Thanks.
Log_6(3)^2 + log_6 9.log_6 12 + log_6 (12)^2
I hope my notation is understandable as I cannot type it in exactly as it appears in my text book. The first and last parts are log base 6 to the power of 2 of 3 and 12 respectively. Thanks.






