Express an equation into a variable

HappiBoi6

New member
Joined
May 26, 2019
Messages
5
Can someone explain or show the steps in how to do this please.


12301

Express z as a function of x and y.
 
It's not clear what you want to do.

If the left-hand side were a variable rather than just the name of a function, you could solve for z by factoring it out of the right-hand side and dividing both sides by the other factor. But not having a value on the left, it's meaningless. The equation you have is not a statement of fact, just a definition of a function.
 
The notation you used is quite odd.

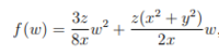
[MATH]\dfrac{3z}{8x} * w^2 + \dfrac{z(x^2 + y^2)}{2x} * w[/MATH].

describes a function in four variables, w, x, y, and z unless of course x, y, and z are known numbers, in which case there is no need to solve for z.

I think what you mean is

[MATH]f(w,\ x,\ y,\ z) = \dfrac{3z}{8x} * w^2 + \dfrac{z(x^2 + y^2)}{2x} * w[/MATH].

That function in four independent variables specifies a dependent variable. It is frequently the case that we want to restate such a relationship so that the originally dependent variable is considered independent and one of the originally independent variables is considered dependent. To do this, it is convenient to assign a letter to denote the originally dependent variable.

[MATH]f(w,\ x,\ y,\ z) = u = \dfrac{3z}{8x} * w^2 + \dfrac{z(x^2 + y^2)}{2x} * w[/MATH].

Now what the problem requires is to restate the relationship among the five variables so that z becomes the dependent variable. But an equation has no clues what is dependent and what is not so simply apply the rules for solving an equation. In other words we want to use algebra to say z = what?

First, clear fractions.

[MATH]u = \dfrac{3z}{8x} * w^2 + \dfrac{z(x^2 + y^2)}{2x} * w \implies 8ux = 3w^2z + 4wz(x^2 + y^2).[/MATH]
Next, isolate what is to found on one side of the equation.

[MATH]8ux = 3w^2z + 4wz(x^2 + y^2) = z\{3w^2 + 4w(x^2 + y^2)\}.[/MATH]
Now what?
 
Last edited:
It's a function describing a continuous variable and the probability for that continuous variable. The integral of PDF over the domain of w should also be 1. What I've done is put w=2 for 2 weeks, and f(w)=1 for certain death, into the z equation. Is that correct?
 
Top