Factor trinomials with fractions in binomial squares

bobisaka

Junior Member
Joined
Dec 25, 2019
Messages
115
Unsure of what strategy to use.
x^2 + bx + c does not work with fractions.

please take a look at my working out.. I am only focusing on the left side in this case
 

Attachments

  • 9EF8B743-F2A6-4E29-84E8-BA58A2EA9EF8.jpeg
    9EF8B743-F2A6-4E29-84E8-BA58A2EA9EF8.jpeg
    822.8 KB · Views: 7
Can you please just state the question that you are asked to work?
 
Can you please just state the question that you are asked to work
Solve quadratic equations by completing the square.

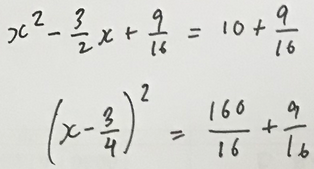
2x^2 - 3x = 20

This is my working out for this question.

the thread question is the part I got stuck at, which is when the trinomials becomes a fraction.
 

Attachments

  • 92A80D2D-61EB-41C0-A14F-ED55AE9F9A55.jpeg
    92A80D2D-61EB-41C0-A14F-ED55AE9F9A55.jpeg
    876.3 KB · Views: 3
Unsure of what strategy to use.
x^2 + bx + c does not work with fractions.

please take a look at my working out.. I am only focusing on the left side in this case
This is not a factoring problem at all!

1629845949766.png

What you are doing here is completing the square to solve the equation [imath]x^2-\frac{3}{2}x=10[/imath].

What you do here is to set things up so that you already know what the "factored" form (the perfect square) will be. You don't need to look at [imath]x^2-\frac{3}{2}x+\frac{9}{16}[/imath] and factor it.

Here is how I think of this process: Given [imath]x^2-\frac{3}{2}x=10[/imath], I say, "The first two terms look like the result of squaring a binomial, [imath](x+h)^2 = x^2+2hx+h^2[/imath]. What will h be? Since the second term, [imath]-\frac{3}{2}x[/imath], has to equal [imath]2hx[/imath], our h must be half of [imath]-\frac{3}{2}[/imath], which is [imath]-\frac{3}{4}[/imath]. So I want my next line to be [imath]\left(x-\frac{3}{4}\right)^2[/imath].

So the work involved is not to figure out this side by factoring the line above it; it's to add the right term to both sides of the first line so that I will get this on the second.

You're right that the usual method for factoring a trinomial doesn't work well with fractional coefficients. That's why we don't use it.
 
Top