Factorization

Guys, I solved this problem but the question needs to be more rigorous as to the condition of existence.

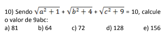
I took this question of a exercise list to "Colégio Naval".

View attachment 32072
Please how us an image of the actual original problem. Was it stated algebraically, as in post #1 but with additional information, or visually as here (with implied parallelism and therefore proportionality), or something else? Either problem is incomplete; and they are not equivalent problems without adding information to both.
 
Thanks for responding @castelobrz

How can you assume that the lines labelled with the distances a,b, and c are parallel? It could look like this...

View attachment 32078
castelobrz
By Cauchy-Schwarz's Inequality, what Cubist is saying mathematically:
[math] \sqrt{a^2+1}+ \sqrt{b^2+4}+\sqrt{c^2+9}\ge \sqrt{(a+b+c)^2+(\sqrt{1}+\sqrt{4}+\sqrt{9})^2}\\ 10\ge \sqrt{(a+b+c)^2+36}\\ 8\ge a+b+c [/math]You just assumed that [imath]a+b+c=8[/imath], and didn't consider that [imath]a+b+c<8[/imath] can also be true.
 
Last edited:
Thanks for responding @castelobrz

How can you assume that the lines labelled with the distances a,b, and c are parallel? It could look like this...

View attachment 32078

Cubist,

I really hadn't thought about this condition of existence. Maybe there is some other geometric representation for this problem...

I will think about it some more and ask my tutors for help. This solution was even presented by my math teacher in other math forum.

Thanks for noticing that.
 
Please how us an image of the actual original problem. Was it stated algebraically, as in post #1 but with additional information, or visually as here (with implied parallelism and therefore proportionality), or something else? Either problem is incomplete; and they are not equivalent problems without adding information to both.
1649644198830.png

The original problem is written in portuguese, there is no additional information
 
1 hour 20 later...



:ROFLMAO:

It does seem a good strategy for a student to just disappear and then wait for the helpers to take an interest in the question. Sometimes helpers discuss a question and then a potential answer gets revealed with no work at all shown by the OP. I'm obviously guilty of this, occasionally. It might be nice if there was a way for known helpers to discuss a thread with each other (within the particular thread) in such a way that students can't immediately see the "between helper" posts.

Anyway, back to this thread, there could be another set of a,b,c (a set that can be written in some algebraic form) that yields one of the other options.
I thought that someone could post a solution on the board OR message me a solution. The solution that one chose to give me did not have to be on the board!
 
I thought that someone could post a solution on the board OR message me a solution. The solution that one chose to give me did not have to be on the board!
Sorry. I didn't intend any offence, just a light joke - along with an observation about us posting solutions sometimes without the OP responding. I don't think PM is the ideal way because other helpers may also be interested in seeing the content of such conversations about the question.
 
Top