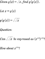
H HallsofIvy Elite Member Joined Jan 27, 2012 Messages 7,760 Jun 2, 2019 #3 You could also write \(\displaystyle \sqrt{\sqrt{x}}= \sqrt[4]{x}\).