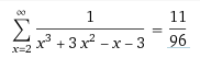
I'm trying to find general term of this series but when I run the equation on wolfram alpha it's given below general term. But I dont understant how can I transform the equation like that.
Can you help me for solution? Any source or reccomend.
Thx
What I would do is factorize the denominator of the summand:
[MATH]\frac{1}{x^3+3x^2-x-3}=\frac{1}{x^2(x+3)-(x+3)}=\frac{1}{(x+1)(x-1)(x+3)}[/MATH]
And then use partial fractions:
[MATH]\frac{1}{(x+1)(x-1)(x+3)}=\frac{1}{8}\left(\frac{1}{x+3}+\frac{1}{x-1}-\frac{2}{x+1}\right)[/MATH]
Now you should be able to get some telescoping to happen...
This site uses cookies to help personalise content, tailor your experience and to keep you logged in if you register.
By continuing to use this site, you are consenting to our use of cookies.